xxx少妇厨房xxx乱,梦精记,国产av躁一二三区免费播放,欧美啪啪

/

新聞資訊

/

行業新聞

dcdc隔離電源模塊重要參數測試方法

2020-07-08

電源模塊測試通常分為倆種方式,一是模擬實際電路工作參數測試并得出結論。二是將電源模塊安裝到實際工作電路中進行穩定性測試,使用前務必要經過參數測試,需嚴格測試各項技術參數指標合格后才能使用,否則將會給產品帶來隱患,或造成設備損壞。


1、模塊電壓的基本參數測試:

直接連接好電源模塊就可以進行模塊的性能測試和判定,確認模塊的性能參數是否符合要求。


2、測試模塊電源輸出電壓精度:

以模塊輸出設定電壓為Voutnom=5V,額定負載為4.166Ω為例,實測輸出電壓Vout=5.028V,輸出電壓精度=0.56%


3、線性電壓調整率計算公式:

 線性電壓調整率計算公式

以模塊額定負載為1000mAVouth=5.028VVoutnl=5.0VVoutnom=5.01V為例,線性電壓調整率=-0.556%


4、負載調整率計算公式:

 負載調整率計算公式

以模塊額定負載為1000mAVb2=5.01V為例,負載調整率=0.339%


5、隔離絕緣特性測試方法:

耐壓測試方法按照耐壓的測試標準,將耐壓值從0V開始慢慢往上調,將耐壓值調至設定的最高耐壓并在最高耐壓值維持一分鐘時間。絕緣強度在輸入輸出間加隔離電壓(直流或交流的峰值)測試1分鐘。絕緣電阻在輸入輸出間加500VDC,測的輸入輸出間絕緣電阻大于 1GOhm。在產品技術手冊中的隔離電壓僅在一分鐘的快速測試內有效,如果需要更長的耐壓時間或在長期的高耐壓狀態下工作,額定工作電壓就必須參考相關標準。


6、轉換效率計算公式:

 轉換效率計算公式

以模塊實測參數Vin=12VIin=560mAVout=5VIo=1000mA為例,效率h=74.4%


7、開爾文測試方法,如下圖所示:

 開爾文測試法

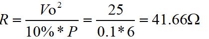
測試條件:室溫Ta =25℃,濕度<75%。輸入電壓范圍足夠大的直流可調穩壓電源,電流表A(精度在0.001A),電壓表V(精度在 0.001V),負載阻值計算。假設模塊的最大輸出功率是6W,輸出電壓5V,需要計算出R(負載)阻值。

 

測試模塊的最大功率:上面是模塊的最大持續輸出功率,不得超過標稱最大值,否則會造成模塊永久性損壞。


10%輕負載測試,為保證測試的準確性需要遵守以下事項:

連接饋線應選擇線損越小越好,以直徑為1mm多股銅線最佳,以免造成過大壓降。當負載電流較大時,應縮短輸出引腳與各負載間的距離,增加連接導線截面積來減小過大的壓降。 在測量時建議采用單通道探頭直接測量法測量輸出,避免輸入輸出共地和外界干擾產生的測量誤差。測試時確保前級的供電電源限流點設置合理,在負載10%-100%之間,為保證有準確的電壓和紋波,輸出容性負載不能大于技術手冊規定值。

 

8、啟動時間:

啟動時間為輸入開啟后輸出相對于輸入達到目標電壓值時響應延遲的時間。一般在額定滿負載下測得,外接濾波器(包括輸入輸出電容)均會大大延遲啟動的時間,實際設計要與紋波噪聲要求權衡考慮。


9動態負載測試方法:

當負載出現突變時,所有的電源都有一個相應的響應時間。在突變響應期間內,電源的輸出電壓會出現瞬間的過沖,然后回到正常輸出狀態。動態響應是通過對過沖幅度的大小、響應時間的長短來測量的,是模塊電源性能的一個重要指標。具體測量的方法是用電子負載來進行電源負載的突變,負載設置條件為輸出負載電流為額定負載的25%-50%-25%50%-75%-50%,電流跳變的上升和下降斜率選0.08-0.1A/uS,用示波器測量其輸出電壓的最大偏差和響應時間,可以得出動態負載測試波形。


10、電源模塊外殼溫升測試方法:

測試外殼溫升可以用熱成像儀或是熱電偶測試,由于發射率對紅外熱成像儀測量的結果有影響,從而會導致測量結果存在一定的偏差,一般推薦用熱電偶測試。如環境溫度Ta = 25℃,實際用熱電偶測的電源模塊的外殼溫度Tc = 50℃,那么模塊的溫升是DT=Tc-Ta=50-25=25℃。其中Tc—殼溫,Ta—環境溫度,△T—溫升。


11、輸入反射紋波測試方法:

 輸入反射紋波測試法

輸入反射紋波電流主要是指經模塊的濾波器未濾除完全的紋波電流反射到DC電源輸入端的交流分量。輸入反射紋波電流測量需要在前端接入電感和電容元件來匹配源阻抗,如上圖所示:電感電容推薦值Lin(4.7μH) Cin(220μFESR < 1.0Ω at 100 KHz)


12dcdc隔離電源模塊波紋噪聲測試方法:

先將示波器帶寬設置為20MHz,可以有效防止高頻噪聲。可以采用平行線測試法、雙絞線測試法或靠測法。

 電源紋波噪音平行線測試法

平行線測試法:C1為高頻陶瓷電容,一般容值為1uF。C2為寬電壓輸入DM41系列,C2 容值為10uF(電解電容),耐壓值高于模塊輸出電壓2倍以上即可兩平行線銅箔帶之間的距離為2.5mm,兩平行銅箔帶的電壓降之和應小于輸出電壓值的2%

 電源紋波噪音雙絞線測試法

雙絞線測試法采用30cm長、#20AWG線規組成的雙絞線與被測開關電源的Vo+Vo-連接,在Vo+Vo-之間接上阻性負載(假負載)。在雙絞線末端接一個10μF解電容,在測量點連接時,一端接在Vo上,另一端接到地平面端。

 電源紋波噪音靠測法

靠測法由于示波器的地線夾會吸收各種高頻噪聲干擾測量結果,為了屏蔽干擾可采用靠測法測試,示波器探頭接在每路輸出端測試。實際測試紋波和噪聲會因電路和外接元件不同而有所差異


很多電子設備損壞的原因是電源,電源的好壞直接關系到產品使用壽命,希望能夠引起大家注意,不要忽略一些測試細節。